Our staff & volunteers

Our staff & volunteers

Know Us

Our history

Our history

Know Us

Our mission

Our mission

About us

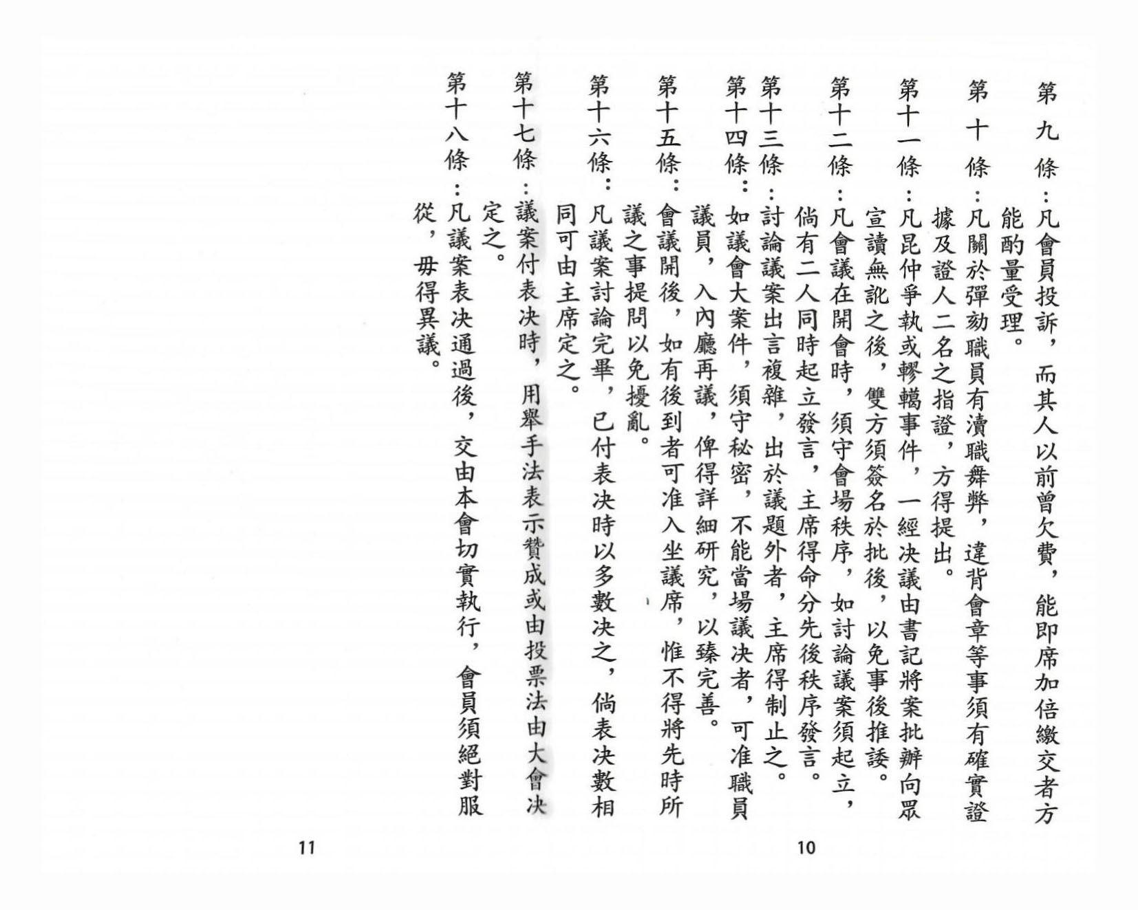
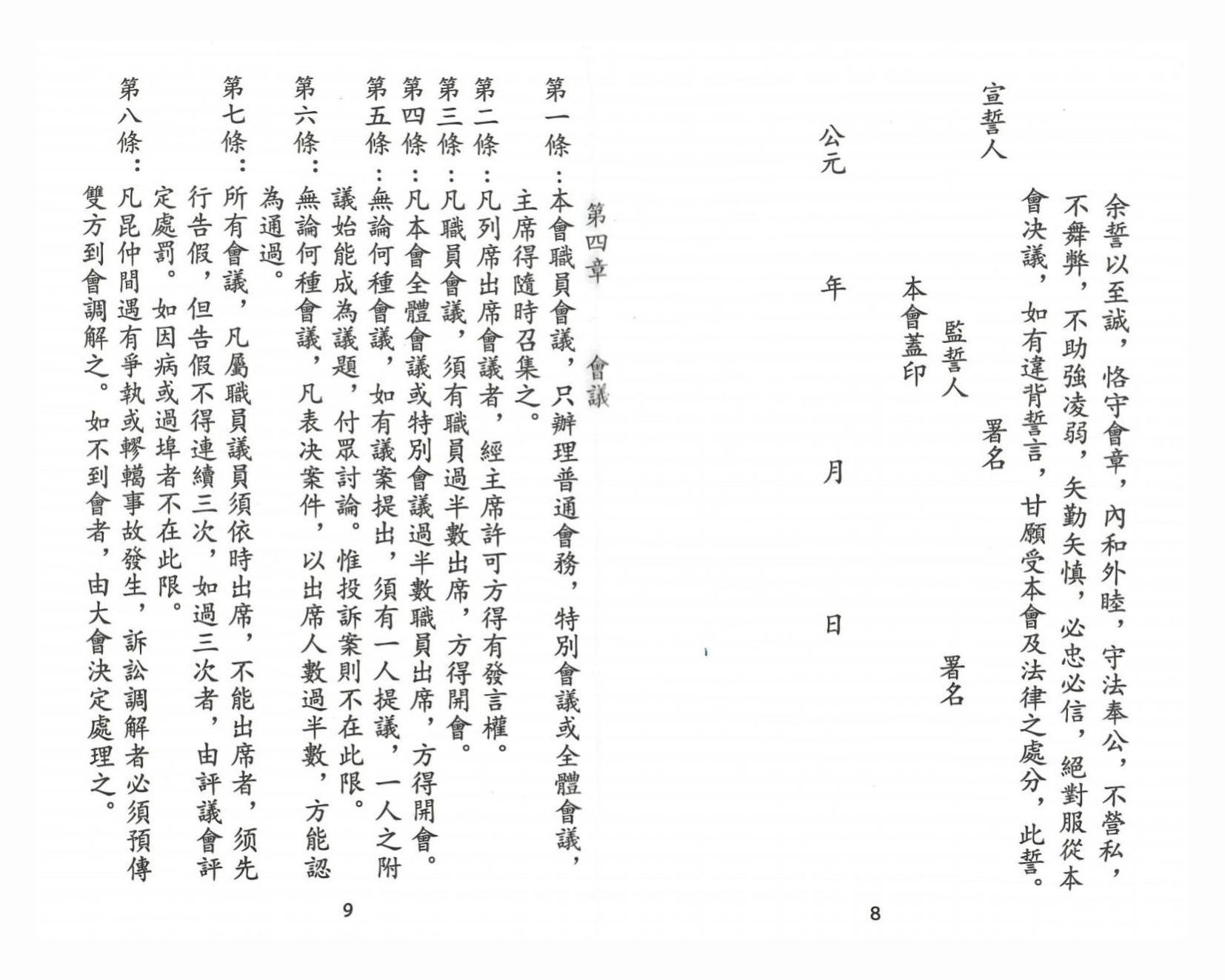
Hip Sen Benevolent Association

Hip Sen Benevolent Association

協善工商總會成立於 1900 年代早期,英文名称为 Hip Sen Benevolent Association

Address 总会地址:

824 WASHINGTON STREET

SAN FRANCISCO, CA. 94108 U.S.A.

Address 分会地址:

1911 CONCOURSE DRIVE

SAN JOSE, CA. 95131 U.S.A

Phone 联系电话:

(415)362-2340

 

开放时间 Open Hours:

Monday - Friday: 9am - 5pm

Saturday: By appointment

Sunday: Closed

Read More

Honors